Вернуться к содержанию учебника
Упражнения § 12. Страница 101
385 386 387 388 389 390 391 392 393 394 395
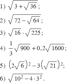
Вычислите значение выражения:
Вспомните: