Номер 381 - ГДЗ Алгебра 8 класс. Мерзляк, Полонский. Учебник. Страница 100

Вернуться к содержанию учебника

Упражнения § 12. Страница 100

378 379 380 381 382 383 384

Вопрос

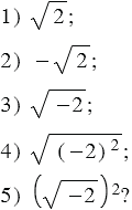
Имеет ли смысл выражение:

Подсказка

Вспомните:

  1. Что называют арифметическим квадратным корнем числа.
  2. Как обозначают арифметический квадратный корень из числа.
  3. Как называют выражение, стоящее под радикалом.
  4. Что такое степень числа.
  5. Что такое квадрат числа.
  6. Какие числа называют неотрицательными.

Ответ


Вернуться к содержанию учебника