Номер 1113 - ГДЗ Математика 6 класс. Мерзляк, Полонский. Учебник. Страница 234

Вернуться к содержанию учебника

Страница 234

1110 1111 1112 1113 1114 1115 1116

Вопрос

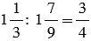
Используя действие умножение, проверьте, верно ли выполнено деление:

1) 0,12 : 0,3 = 0,4;

2) .

Подсказка

Ответ


Вернуться к содержанию учебника