Номер 1103 - ГДЗ Математика 6 класс. Мерзляк, Полонский. Учебник. Страница 233

Вернуться к содержанию учебника

Страница 233

1100 1101 1102 1103 1104 1105 1106

Вопрос

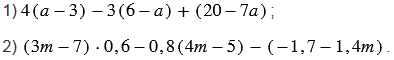
Докажите, что значение выражения не зависит от значения переменной:

Подсказка

Вспомните:

  1. Распределительное свойство умножения, коэффициент.
  2. Раскрытие скобок, подобные слагаемые.
  3. Правила умножения рациональных чисел.
  4. Правила сложения рациональных чисел.
  5. Правило вычитания рациональных чисел.
  6. Противоположные числа.
  7. Модуль числа.
  8. Умножение десятичных дробей.
  9. Сложение и вычитание десятичных дробей.

Ответ


Вернуться к содержанию учебника